Como funcionam os algoritmos de previsão de partidas de futebol?

O futebol, sendo o esporte mais popular do mundo, atrai não apenas fãs apaixonados, mas também entusiastas de dados e estatísticas.
A complexidade e a imprevisibilidade do jogo tornam a previsão de resultados uma tarefa desafiadora. No entanto, com o avanço da ciência de dados, da estatística e da tecnologia, surgiram diversos modelos e algoritmos que podem nos ajudar a decifrar parte dessa imprevisibilidade, e muitas vezes de forma simples e eficiente.
Neste artigo, vamos explorar como os algoritmos podem ser usados para prever os resultados das partidas de futebol.
Para esse estudo, foram consideradas as partidas dos dois últimos anos do campeonato espanhol, sendo 799 jogos entre 24 equipes.
Google News
Quer estar por dentro de tudo o que acontece no mundo das apostas esportivas? Acesse as notícias do Aposta Legal Brasil!
Vamos começar visualizando a distribuição de gols das equipes da casa e visitantes em nosso conjunto de dados.

O gráfico acima mostra a distribuição de gols marcados por times da casa (em azul) e times visitantes (em vermelho). Podemos observar que:
- Times da casa tendem a marcar mais gols em comparação aos times visitantes.
- A maioria dos jogos tem entre zero e dois gols para ambos os times. Uma equipe fazer três gols ou mais se torna bem mais raro.
Aproveitamos para deixar uma dica para quem vai usar os dados ao fazer suas apostas:
Dica: Analise o histórico de gols das equipes para apostar no Over/Under
A maioria dos jogos tem entre zero e dois gols para ambos os times. Uma equipe fazer três gols ou mais se torna bem mais raro. Cruze esse dado com a qualidade técnica dos jogadores e momento atual das equipes para embasar suas apostas no Over/Under, por exemplo!
Distribuição de Poisson
Antes de continuar a análise dos dados, vamos fazer uma pausa para contextualizar um conceito estatístico: a distribuição de Poisson. Ela é usada para estimar a chance de algo acontecer um certo número de vezes em um período específico.
Por exemplo, pode ajudar a prever quantas vezes um telefone tocará em uma hora ou quantos e-mails uma empresa receberá em um dia. Ela é útil quando os eventos não costumam ser frequentes, mas podem acontecer algumas vezes no período observado.
De forma resumida, tenta descrever a probabilidade de um determinado número de eventos ocorrer em um intervalo fixo de tempo ou espaço.

No contexto do futebol, ela pode ser usada para modelar o número de gols que uma equipe pode marcar em uma partida.
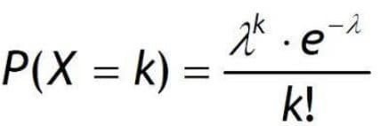
Vamos discutir como a distribuição de Poisson pode ser aplicada para modelar essa distribuição de gols e como ela pode ser usada para prever os resultados das partidas.A fórmula da distribuição de Poisson é dada por:

Onde:
- P(X=k) é a probabilidade de ocorrerem exatamente k eventos (gols).
- lambda é a média de eventos (gols) esperada.
- e é uma constante, aproximadamente igual a 2,7.
A ideia básica é que, ao estimar a média de gols que uma equipe marca em uma partida, podemos usar a distribuição de Poisson para calcular a probabilidade de marcar qualquer número específico de gols (0, 1, 2, 3, ...).
Esta média, conhecida como lambda, é fundamental para a distribuição de Poisson. Uma abordagem comum para determinar lambda é calcular a média de gols marcados por uma equipe ao longo de várias partidas anteriores.
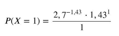
Começaremos calculando a média de gols marcados pelos times da casa e pelos visitantes em nosso conjunto de dados. Com essas médias, utilizaremos a distribuição de Poisson para prever a probabilidade de marcar diferentes números de gols.
No total, os times mandantes marcaram 1.143 gols e os visitantes, 869.
Dado que tivemos 799 partidas, a média de gols do time da casa foi de aproximadamente 1,43, enquanto a dos visitantes foi de 1,08.
Usando as médias calculadas, vamos visualizar a distribuição de Poisson para os gols dos times mandantes (azul) e visitantes (vermelho). Na prática, utilizamos a fórmula mencionada acima para cada situação. Por exemplo, a probabilidade do time mandante fazer um gol pode ser dada:

O resultado dessa conta é próximo de 35%. Isso nos dará uma ideia da probabilidade de uma equipe marcar um número específico de gols em uma partida. Realizando esse cálculo para valores entre 0 e 6, temos a distribuição a seguir:

Fica perceptível a diferença do “fator casa”. Enquanto os visitantes concentram, aproximadamente, 70% da probabilidade nos valores mínimos (0 e 1), os mandantes têm uma distribuição maior ao longo do gráfico, com chances de marcarem uma quantidade maior de gols bem mais superiores.
Força das equipes
Até agora fizemos cálculos apenas de uma maneira geral, porém precisamos ser mais específicos. Por mais que a probabilidade de um time visitante fazer gols ou ganhar um jogo tende a ser pequena, é muito diferente quando esse time é o Real Madrid ou o Alavés.
Para isso, entramos em outro conceito: a força das equipes.
Um dos fatores mais importantes ao prever o resultado de uma partida de futebol é a força relativa das duas equipes envolvidas. A força de uma equipe pode ser determinada por vários fatores, incluindo seu desempenho histórico e recente, e a falta (ou presença) dos principais jogadores.
Para simplificar, consideraremos nesse momento apenas a força de uma equipe com base em seu desempenho histórico em nosso conjunto de dados.
Vamos calcular a força ofensiva e defensiva de cada equipe. A força ofensiva de uma equipe é a média de gols que ela marca em casa (para o time da casa) ou fora (para o time visitante) dividida pela média geral de gols em casa ou fora. A força defensiva é calculada de maneira semelhante, mas usando gols sofridos em vez de gols marcados.
Por exemplo, como já vimos, a média de gols do clube que joga em casa é de 1,43. O Barcelona, por sua vez, tem uma média de 1,95 gols em casa. Para calcular a força ofensiva do Barcelona jogando no Camp Nou simplesmente dividimos as duas médias:
Força Ofensiva do Barcelona em Casa = 1,95 / 1,43 = 1,36
Podemos concluir que, jogando em casa, o clube azul grená faz uma quantidade de gols 36% acima da média. Realizando esse cálculo para cada uma das equipes, chegamos aos valores da tabela abaixo.
Time | Força Ofensiva (Casa) | Força Defensiva (Casa) | Força Ofensiva (Fora) | Força Defensiva (Fora) |
|---|---|---|---|---|
Alaves | 0,73 | 1,05 | 0,61 | 1,53 |
Almeria | 1,02 | 1,25 | 0,97 | 1,54 |
Ath Bilbao | 0,96 | 0,85 | 0,94 | 0,80 |
Ath Madrid | 1,38 | 0,75 | 1,56 | 0,79 |
Barcelona | 1,36 | 0,54 | 1,57 | 0,66 |
Betis | 1,07 | 0,92 | 1,20 | 0,80 |
Cadiz | 0,73 | 1,10 | 0,64 | 1,06 |
Celta | 0,91 | 1,08 | 0,87 | 0,96 |
Elche | 0,77 | 1,21 | 0,68 | 1,27 |
Espanol | 0,96 | 1,31 | 0,97 | 1,25 |
Getafe | 0,75 | 0,80 | 0,60 | 0,98 |
Girona | 1,30 | 1,14 | 1,14 | 1,03 |
Granada | 0,83 | 1,44 | 1,14 | 1,33 |
Las Palmas | 0,35 | 0,46 | 0,00 | 0,70 |
Levante | 1,03 | 1,45 | 1,11 | 1,69 |
Mallorca | 0,73 | 0,87 | 0,78 | 1,28 |
Osasuna | 0,73 | 1,17 | 0,85 | 0,82 |
Real Madrid | 1,61 | 0,71 | 1,64 | 0,66 |
Sevilla | 1,08 | 1,06 | 1,01 | 0,82 |
Sociedad | 0,84 | 0,67 | 1,16 | 0,84 |
Valencia | 0,96 | 1,03 | 0,90 | 1,00 |
Valladolid | 0,77 | 1,21 | 0,58 | 1,40 |
Vallecano | 0,97 | 1,20 | 0,76 | 1,02 |
Villarreal | 1,40 | 0,97 | 1,10 | 0,77 |
Alaves | |
Força Ofensiva (Casa) | 0,73 |
Força Defensiva (Casa) | 1,05 |
Força Ofensiva (Fora) | 0,61 |
Força Defensiva (Fora) | 1,53 |
Almeria | |
Força Ofensiva (Casa) | 1,02 |
Força Defensiva (Casa) | 1,25 |
Força Ofensiva (Fora) | 0,97 |
Força Defensiva (Fora) | 1,54 |
Ath Bilbao | |
Força Ofensiva (Casa) | 0,96 |
Força Defensiva (Casa) | 0,85 |
Força Ofensiva (Fora) | 0,94 |
Força Defensiva (Fora) | 0,80 |
Ath Madrid | |
Força Ofensiva (Casa) | 1,38 |
Força Defensiva (Casa) | 0,75 |
Força Ofensiva (Fora) | 1,56 |
Força Defensiva (Fora) | 0,79 |
Barcelona | |
Força Ofensiva (Casa) | 1,36 |
Força Defensiva (Casa) | 0,54 |
Força Ofensiva (Fora) | 1,57 |
Força Defensiva (Fora) | 0,66 |
Betis | |
Força Ofensiva (Casa) | 1,07 |
Força Defensiva (Casa) | 0,92 |
Força Ofensiva (Fora) | 1,20 |
Força Defensiva (Fora) | 0,80 |
Cadiz | |
Força Ofensiva (Casa) | 0,73 |
Força Defensiva (Casa) | 1,10 |
Força Ofensiva (Fora) | 0,64 |
Força Defensiva (Fora) | 1,06 |
Celta | |
Força Ofensiva (Casa) | 0,91 |
Força Defensiva (Casa) | 1,08 |
Força Ofensiva (Fora) | 0,87 |
Força Defensiva (Fora) | 0,96 |
Elche | |
Força Ofensiva (Casa) | 0,77 |
Força Defensiva (Casa) | 1,21 |
Força Ofensiva (Fora) | 0,68 |
Força Defensiva (Fora) | 1,27 |
Espanol | |
Força Ofensiva (Casa) | 0,96 |
Força Defensiva (Casa) | 1,31 |
Força Ofensiva (Fora) | 0,97 |
Força Defensiva (Fora) | 1,25 |
Getafe | |
Força Ofensiva (Casa) | 0,75 |
Força Defensiva (Casa) | 0,80 |
Força Ofensiva (Fora) | 0,60 |
Força Defensiva (Fora) | 0,98 |
Girona | |
Força Ofensiva (Casa) | 1,30 |
Força Defensiva (Casa) | 1,14 |
Força Ofensiva (Fora) | 1,14 |
Força Defensiva (Fora) | 1,03 |
Granada | |
Força Ofensiva (Casa) | 0,83 |
Força Defensiva (Casa) | 1,44 |
Força Ofensiva (Fora) | 1,14 |
Força Defensiva (Fora) | 1,33 |
Las Palmas | |
Força Ofensiva (Casa) | 0,35 |
Força Defensiva (Casa) | 0,46 |
Força Ofensiva (Fora) | 0,00 |
Força Defensiva (Fora) | 0,70 |
Levante | |
Força Ofensiva (Casa) | 1,03 |
Força Defensiva (Casa) | 1,45 |
Força Ofensiva (Fora) | 1,11 |
Força Defensiva (Fora) | 1,69 |
Mallorca | |
Força Ofensiva (Casa) | 0,73 |
Força Defensiva (Casa) | 0,87 |
Força Ofensiva (Fora) | 0,78 |
Força Defensiva (Fora) | 1,28 |
Osasuna | |
Força Ofensiva (Casa) | 0,73 |
Força Defensiva (Casa) | 1,17 |
Força Ofensiva (Fora) | 0,85 |
Força Defensiva (Fora) | 0,82 |
Real Madrid | |
Força Ofensiva (Casa) | 1,61 |
Força Defensiva (Casa) | 0,71 |
Força Ofensiva (Fora) | 1,64 |
Força Defensiva (Fora) | 0,66 |
Sevilla | |
Força Ofensiva (Casa) | 1,08 |
Força Defensiva (Casa) | 1,06 |
Força Ofensiva (Fora) | 1,01 |
Força Defensiva (Fora) | 0,82 |
Sociedad | |
Força Ofensiva (Casa) | 0,84 |
Força Defensiva (Casa) | 0,67 |
Força Ofensiva (Fora) | 1,16 |
Força Defensiva (Fora) | 0,84 |
Valencia | |
Força Ofensiva (Casa) | 0,96 |
Força Defensiva (Casa) | 1,03 |
Força Ofensiva (Fora) | 0,90 |
Força Defensiva (Fora) | 1,00 |
Valladolid | |
Força Ofensiva (Casa) | 0,77 |
Força Defensiva (Casa) | 1,21 |
Força Ofensiva (Fora) | 0,58 |
Força Defensiva (Fora) | 1,40 |
Vallecano | |
Força Ofensiva (Casa) | 0,97 |
Força Defensiva (Casa) | 1,20 |
Força Ofensiva (Fora) | 0,76 |
Força Defensiva (Fora) | 1,02 |
Villarreal | |
Força Ofensiva (Casa) | 1,40 |
Força Defensiva (Casa) | 0,97 |
Força Ofensiva (Fora) | 1,10 |
Força Defensiva (Fora) | 0,77 |
Agora que temos a força ofensiva e defensiva de cada equipe, podemos usar essas métricas para prever o número esperado de gols que cada equipe marcará em uma partida. A fórmula básica para calcular o número esperado de gols é:
Gols esperados = Força ofensiva da equipe * Força defensiva da equipe adversária * Média geral de gols
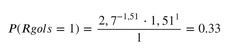
Portanto, no jogo entre Real Madrid e Barcelona, sendo o jogo no Santiago Bernabeu, em Madrid:
- Esperamos que o Real Madrid faça 1,51 gols (1,61 * 0,66 * 1,43)
- Esperamos que o Barcelona faça 1,20 gols (1,57 * 0,71 * 1,08)
Por mais que deixem claro o favorito para vencer a partida, esses valores ainda não nos dizem as chances de cada um vencer. Vamos, então, utilizar os gols esperados e todo o aprendizado que tivemos até agora para finalmente entrarmos no último passo do nosso trabalho.
Calculando as probabilidades do resultado da partida
Supondo que queremos calcular a probabilidade do resultado final do El Clasico ser 1x1, podemos utilizar os valores que acabamos de encontrar e imputá-los na fórmula de Poisson. Primeiro, calculamos a probabilidade do Real Madrid fazer um gol:

Em seguida, fazemos o mesmo cálculo para o Barcelona:

Por fim, como queremos encontrar a probabilidade que esses dois eventos ocorram ao mesmo tempo (Real Madrid e Barcelona fazerem um gol), devemos multiplicar os valores, chegando a, aproximadamente, 12%.
Ao realizar esse cálculo iterativamente, conseguimos visualizar cada resultado possível em uma matriz:

Agora que conseguimos calcular a probabilidade de resultados específicos, também conseguimos calcular os três possíveis cenários da partida: vitória do Real Madrid (somando-se as probabilidades quando o número de gols do time mandante é maior), empate (somando-se as probabilidades da diagonal) e probabilidade de vitória do Barcelona (somando-se os valores restantes).

Conclusão e possíveis melhorias
Embora a distribuição de Poisson, como foi exemplificada nesse artigo, seja um bom método para modelar a probabilidade de eventos em um determinado intervalo, como o número de gols em uma partida de futebol, ela não capta toda a complexidade e dinâmica do esporte, e outras variáveis também devem ser levadas em consideração em um modelo mais preciso:
- Forma Recente da Equipe: O desempenho recente de uma equipe é um indicador de sua confiança e de sua capacidade atual. Em nosso exemplo, o resultado de uma partida de dois anos atrás possui o mesmo peso de uma partida desse mês. Existem métodos para realizar essa ponderação e isso é assunto para um artigo completo.
- Lesões e Suspensões: A perda de um jogador que faz a diferença, seja por lesão ou suspensão, pode desestabilizar a estratégia de uma equipe e diminuir sua eficácia em campo. Jogadores-chave muitas vezes desempenham funções táticas importantes, e sua ausência pode exigir uma reestruturação significativa da formação e da abordagem da equipe.
- Histórico de Confrontos: O futebol é também um jogo psicológico. Algumas equipes tendem a ter uma vantagem emocional sobre outras devido a vitórias anteriores ou a uma longa série de jogos sem derrotas contra um adversário específico.
- Importância para cada Equipe: Dependendo da situação das equipes na época da partida, o interesse de cada uma delas pode ter grande influência no resultado. Se uma das equipes tiver brigando pelo título ou contra o rebaixamento, o fator emocional pode impulsionar o potencial de cada jogador. Por outro lado, se tiver um jogo importante em outra competição dias depois, alguma das equipes pode escolher por poupar seus principais jogadores.
Quer mais uma dica? Finalizamos o conteúdo com uma reflexão prática baseada nos dados apontados:
Se um jogador importante lesionar, reconsidere as previsões realizadas
A ausência de um jogador-chave por lesão ou suspensão pode desestabilizar a equipe e exigir mudanças táticas significativas. Como isso pode não ser refletido em algoritmos de previsão, é importante fazer sua própria análise antes de confiar nesses dados.
O futebol é um esporte complexo e muitos fatores podem influenciar o resultado de uma partida. Portanto, para melhorar a precisão das previsões, podemos considerar fatores adicionais já destacados. Além disso, técnicas mais avançadas, como modelos de aprendizado de máquina, podem ser usadas para capturar a complexidade e as nuances do jogo.





.webp&w=3840&q=75)

